Roman acqueduct near Tarragona, Catalonia, Spain / Photo by Cruccone, Wikimedia Commons
From Dr. Stephen T. Muench (by student A. Maznamy) / 09.06.2013
Associate Professor of Civil and Environmental Engineering
University of Washington
Introduction
Ancient Romans constructed complex hydrological systems known as aqueducts which supplied Rome with massive amounts of water through a complex system of open channels, tunnels, and pipes. These aqueducts traveled great distances and overcame geological and civil engineering hurdles to accomplish magnificent engineering feats with minimal technologies. The aqueducts that are classified as the ancient Roman aqueducts were built over a five century time period. From BC 311 to AD 226, Romans built 11 of these, see table 1, bringing water from the northwestern springs found near Lake Bracciano, and the springs, lakes, and rivers of the east towards the Apennine mountain range, see figure 1. These complex systems snaked their way through mountains, rivers, and valleys delivering approximately one million gallons of water a day to the city of Rome during the height of the Roman Empire.
The time period of the 11 aqueducts corresponds with the rise of the Roman Empire and its dominating power and growth throughout those five centuries. Beginning around the time of the construction of the Circus Maximus, aqueducts provided essential water for survival of Roman citizens, monuments and fountains to honor conquests, hero’s, and gods, and luxurious baths for both public and private use. Sustaining a population thought to be near a million within the city walls, constant water for survival and recreation was a sign of the power and ingenuity of the Roman civilization. Construction of new aqueducts stops a few centuries short of the fall of the Roman Empire in the sixth century A.D., shortly after the construction of the Baths of Caracalla, marking a decline in new construction and the beginning of the end.
The Eleven Aqueducts
Map of the 11 aqueducts of Ancient Rome and their paths through the countryside to the city
Table 1: General information about the 11 aqueducts (Muench).
Aqua Appia
The Aqua Appia was the first Roman aqueduct built in BC 312 by the censors, or persons in charge of census’ and morality. Rome Appius Claudius Caecus and C. Plautius, the censors, commissioned an aqueduct from eastern springs that was 16 kilometers long and located mostly underground with an approximate 4.8 kilometers on arches.
Aqua Anio Vetus
Aqua Anio Vetus was built in BC 272-269 and was a much more ambitious project than the previous Aqua Appia. At 260 meters above sea-level, this aqueduct tapped the Anio River east of Rome requiring a much longer system which was contained mostly underground. As technologies advanced, the length was of the Anio Vetus was shortened to between 64 and 81 kilometers using additional bridges and substructures.
Aqua Marcia
The third of the Roman aqueducts was Aqua Marcia was built in BC 144-140. The only aqueduct built by a Praetor,Roman magistrates with legal power, Q. Marcius Rex commissioned the longest of the 11 aqueducts, tapping it’s source over 90 kilometers away. Pieces of the Marcia can still be seen along the Appian Way today.
Aqua Tepula
The Aqua Tepula was next, yet little is known about the original other than it was built in BC 126, contained warm water, 16˚ C, and was completely redone and with a new path by Agrippa. It tapped a spring to the east of Rome and nothing remains of the original system. Its replacement runs for approximately 18 kilometers with half of those on top of the Aqua Marcia.
Aqua Julia
The Aqua Julia was built in BC 33 by Aggripa. It flowed from a springs above the abbey of Grottaferratta and had a recorded length of 15,426 1/2 paces and mixed with the Tepula’s water before completing its journey on top of the Aqua Marcia. From 11-4 BC, Aggustus repaired and added to the Aqua Julia, giving it a capacity of approximately 48,000 cubic meters per day.
Aqua Virgo
The Aqua Virgo was built in BC 19 by Agrippa and is only aqueduct that remains functional in Rome today. With its source east of Rome near Via Collatina, it runs from springs east of Rome for 23 kilometers with half of them below ground and the other half on arches. The Virgo was constructed to supply water to the baths of Agrippa in the Campus Martius.
Aqua Alsientina
The Aqua Alsientina was commissioned by Aggustus in BC 2 and was also known as the Aqua Aggusta. It was one of two aqueducts that drew its water from the northern Lake Alsientina, or Lake Martignano as its known today. It was 23 kilometers long and ran underground for all but the last 0.4 kilometers with were on arches terminating in the Trastevere neighborhood of Rome, southwest of St. Peter’s Basilica. It is not known why the Alsientina was constructed, it carried a minimal 6,000 cubic meters of water per day and that water was poor in quality and only used for drinking when repairs to Marcia and Virgo were closed for repairs to that area. It is thought that it was built as irrigation for gardens and country villas throughout the countryside.
Aqua Claudia
Figure 2: The Aqua Claudia with the Anio Novus on top at Parco degli Acquedotti, five miles outside Rome’s city center.
The Aqua Claudia was completed in AD 52. It was first commissioned by Caligula and was completed by Claudius after his death in 41. The Claudia took 14 years to build and was built because of Rome’s growing size and demand for water. With an overall length of 69 kilometers and only 14 of them being above ground on arches, the Claudia has left its mark on Rome, making appearances still today throughout the city as seen above in figure 2.
Aqua Anio Novus
The Anio Novus was built in AD 52 and just like the Claudia, was commissioned by Caligula and completed by Claudius. It was the most ambitious of all the aqueducts, delivering just under 200,000 cubic meters per day from the highest source out of all 11 aqueducts. It took its water 87 kilometers from the muddy, turbulent Anio River, creating a need for settlement tanks to remove sediment. The Anio Novus split in two just above Tivoli taking one a subterranean route to Rome and another atop the Aqua Claudia as seen in figure 2.
Aqua Traiana
The Aqua Traiana was the only other aqueduct that drew its water from the north at Lake of Bracciano. Built in AD 109 and commissioned by Emperor Trajan, the Traiana was 56 kilometers long with slightly under 10 kilometers on arches with enough height to supply water to all 14 districts of Rome.
Aqua Alexandrina
The last of the aqueducts of the ancient Roman period was the Aqua Alexandrina. Built during the reign of Alexander Severus in AD 226, the Alexandrina was 23 kilometers long with 16 kilometers on arches. The Alexandrina entered Rome at ground level and no remains have been found between Porta Maggiore and its end in the Campus Martius. Little is known other than it was built with the sole purpose of supplying the Thermae neronianae in the Campus Martius.
Distribution
Before the aqueducts, Rome depended on local sources such as the Tiber River and cisterns of collected rain water. Water quality, sanitation, and disease were daily problems Roman citizens were afflicted with. Droughts and drainage problems were deadly and as the population increased, so did the problem. The solution was the Civil Engineering marvel that enabled the rise of the Roman Empire and sustained a massive population, aqueducts.
Within the city walls of Rome, approximately one million people settled. The city had a complex set-up of private, public, recreational and imperial uses of water. Water flowed continuously through the aqueducts, spreading out through the city in pipes and ducts towards castellums, or water tanks, and Romes civil infastructures. Water flowed continually 24 hours a day. This allowed citizens to benefit from a constant source of fresh water. Castellums were used to improve water quality and distribute water by performing as holding and settling tanks to filter sediment and debris as well as a reservoir for water. As more aqueducts were constructed, the ability to offer water to individual homes and businesses arose. Those who were able to, obtained permission from a waterworks inspector, funded the construction, and build private castellums. These private tanks enabled fistulae’s, or water pipes, made from lead or tile to carry water to individual locations for various uses. The fistulae themselves would then be tapped with bronze calix’s, a trumpet shaped pipe attachment, to allow the water to branch from the pipe to each residence much like a water main today(“Roman aqueducts,” April). Fees were assessed as a water tax depending on the size of the distribution calix.
Figure 3 is a castellum that was discovered just south of the Trevi Fountain in 1999 during a theater renovation. While uncovering this site, archaeologists discovered a mansion from the fourth century built among communal houses. These tanks accessed the Aqua Vergine and were used to store, settle and distribute water to the various surrounding rooms and buildings. This site has been named La Citta dell’Acqua, meaning The City of Water, and is open to the public. The thick mortar around the bottom of the tank is a waterproof joint sealant to prevent seepage between cold joints.
Figure 3: Water tank for distributing water to ancient Roman houses near the Trevi Fountain at the archeological site of La Citta dell’Acqua.
For those unable to bring the water to them, public fountains and baths were available. These public areas required large amounts of continual water flow. The Baths of Caracalla, one of the later construction projects of the Roman Empire built in 217 A.D., required an estimated 15-20,000 cubic meters of water per day (Anderson, 2006) to supply the bath with luxurious steam rooms, hot tubs, fountains, and pools. Baths like Caracalla and Diocletian were a typical feature in Roman society and as the population grew, so did the need to supply more and more infrastructures such as these. It is thought that there were over 900 baths in ancient Rome and when the fountains, imperial needs, and daily public and private usage are included, it is estimated that the Romans by the later part of the third century A.D. were continually bringing more than one million gallons of water per day into the city.
Agriculture also drew water from the aqueducts as they made their way towards the city. The Aqua Alsientina is thought to have been built solely for this purpose, watering farms and countryside gardens on its journey to and within the walls of Rome. The city of Rome was capable of expanding in both size and area because the capacity of food the land could supply was able to increase due to the expansion of available water. Crops which were once grown only near lakes, rivers, and springs could spread through the countryside with ease because of transportable water. No longer did labor intensive irrigation trenches need to be dug and maintained to grow crops further from water sources. Food was sustained within reason during times of drought due to underground springs as feeding sources for some of the aqueducts. Sustainability was brought to the city, and the Roman Empire flourished.
Hydraulics
Water is a heavy substance with a density of 1,000 kilograms per cubic meter. With water flows ranging from 0.2 to 2.2 kilograms per second, there was a lot to consider when designing these hydraulic systems known as aqueducts. The water ran for the most part in open channels but siphons were used.
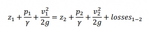
A siphon is “a tube or conduit bent into legs of unequal lengths, for use in drawing a liquid from one container into another on a lower level by placing the shorter leg into the container above and the longer leg into the one below, the liquid being force up the shorter leg and into the longer one by the pressure of the atmosphere” (“Dictionary,” ). This is achieved because of the Bernoulli principle with states that frictionless fluid along a streamline with a steady flow has a constant energy per unit mass. Using three points of analysis, elevation head, pressure head, and static head along with the theory of conservation of energy, Bernoulli’s equation, which can be seen in Figure 4, can be used to evaluate a siphon system. By knowing the starting and ending conditions of the siphon and setting them equal to each other in an equation form, the loss in a system can be found. This works because the atmospheric pressure at both ends is the same, and therefore cancels out. The continuity equation allows for the velocities to cancel out when evaluating the ends of a pipe because the flow is the same, leaving only the elevation. The difference between the elevations is therefore the head loss, and can be used to calculate unknowns to understand the pressures within the siphon.
Figure 4: Bernoulli’s equation
Carrying out an analysis on a siphon in a Roman aqueduct shows that pipes at the bottom of a siphon with an elevation loss of around 400 feet withstood pressures of 1700 psi. Pipes therefore had to be thick, strong, and were very heavy. Skilled laborers were required for the manufacturing as well as maintaining these pipes and then there was the dilemma of obtaining and transporting materials. Because of this, bridges were often used in place of siphons. Rock quarries of various materials were readily available and required less skilled laborers though the design and construction of the bridge itself was still an engineering feat requiring skill and precision. To avoid the time and extra cost of bridges and siphons, approximately 80% of them were underground (“Roman aqueducts,” April).
For open channels, the hydraulics of open channel flow is important to understand as well. Open channel flow has a velocity profile that can be seen in figure 5. This profile is formed because of perimeter friction. As the water passes through the tunnel, frictional forces along the walls create drag and pull the water back. This slows the water and creates a velocity gradient which increases in magnitude outward from the contact surfaces until it reaches the fluids maximum velocity. Controlling the velocity is important to minimizing a gain in momentum and damaging the system.
Figure 5: Velocity profile of an open channel flow
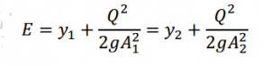
When the depth in the system remains constant, the result is a uniform steady flow with a constant energy. When slopes change, the systems energy changes. To understand this, figure 6 is the equation that relates energy to depth and flow rate. E is the systems energy, y is fluid depth, Q is flow rate, g is the gravitational constant, and A is the cross-sectional area of the fluid. The energy in the system can vary with depth and flow rate and hydraulic jumps can occur, see figure 7. Sub-critical and super-critical are terms that must be understood to understand the destructive capabilities of a hydraulic jump.
Figure 6: Open channel flow energy equation.
Figure 7: A hydraulic jump (McNoldy)
Super-critical flow is a fluid flowing at a velocity larger than the information wave velocity. To understand this think of throwing a stone into a river. The river is moving at its flow velocity while the information waves from the stone move at a separate velocity, seen as ripples. You see the ripples because the information wave is traveling at a different velocity. Sub-critical flows are flows that have a depth deeper than the critical flow depth, which is the dividing depth between the two and the minimum energy. When a super-critical flow has been reached and then flows into an area with a sub-critical depth, a hydraulic jump is created. An abrupt increase in fluid depth is created as kinetic energy, velocity, is transformed into potential energy, height, creating wave fluctuations, eddy’s, and turbulence which can wreak havoc and an aqueduct. Hydraulic jumps only occur in super-critical flows.
Construction
Constructing the aqueducts required extensive understanding of Civil Engineering and the laws of Physics and while Romans weren’t the first to build aqueducts, they perfected it over their five and a half centuries of Engineering dominance. The Romans used gravity to draw water slowly from higher elevations. They aimed for a slope of 1 foot per mile, or an approximate grade of 0.02% (“Roman aqueducts,” April). Because of this, aqueducts did not take a direct, straight path towards Rome. They snaked their way through the mountains, valleys, and country sides on a path chosen for its simplicity and cost. As water flows downhill, it has a potential to create momentum, which is mass times velocity, and become a destructive force . Based on calculations of the Aqua Claudia over the 0.85 mile stretch of the Romavecchia region, with a width of 3.9 feet and an average water height of 3.1 feet, a large amount of momentum could be gained in a relatively short amount of time because of any substantial gain in velocity. With an approximate flow rate of 76 cubic feet per second (Muench), the equivalent weight would have been 2,150 kilograms of water per second. When multiplying that times a velocity, the numbers get big quickly. Since a small slope was not always possible, other measures were taken such as bridges and siphons to accommodate unavoidable steep slopes, avoiding the curves and corners of the aqueducts being subjected to large impact forces and becoming an area of weakness in the system.
Bridges and siphons were both solutions to maintaining a constant gradient in the aqueducts; convenience and cost being the deciding factors between the two. Using local materials such as stone, brick, and mortar was preferred over manufactured materials like lead and clay pipes. Siphons were expensive because of their reliance on manufactured materials to withstand the intense pressures created within. Bridges, while costly, were preferred over siphons despite the sophisticated engineering required for construction. To fully understand how a bridge carrying water over a valley was easier than flowing water through the ground down a hill and back up the other side, it is important to understand how a siphon works (see hydraulics).
Building the aqueducts underground was the easiest way when it was feasible. Much like the concept of a switchback trail, these tunnels snaked through the countryside maintaining a desired slope. The tunnels themselves were dug into the earth and mountain using ancient surveying and leveling equipment such as chorobates, a type of level, gromas, an instrument used to measure distance and straight lines, and diatropas, similar to the gromas but for much longer distances, to maintain the desired slope. To tunnel through a mountain, shafts were dug at the top to allow laborers to dig faster, remove excavated debris, and supply building materials such as bricks, stone, and mortar as seen in figure 8.
Laying a tunnel through the countryside was much easier than a mountain. A trench was dug deeper than the desired depth. Next an aggregate foundation was laid and side walls and access doors of stone and concrete were constructed. A concrete floor was laid down and leveled to the correct slope. A vaulted ceiling was added for protection along with mortar along the bottom and sides of the aqueduct for waterproofing. Finally the trench would be filled with earth, covering the aqueduct below ground. Figure 9 shows an typical cross-section illustration of an aqueduct tunnel. After the basic construction of a tunnel, roads were built alongside the aqueducts for maintenance crews to gain access. Cippi, ancient markers, were used to mark areas of 15 meters on both sides the aqueducts to prevent farming and any other activities from disrupting the underground tunnels.
Figure 8: Illistration of tunneling procedures (“Roman emperor hadrian’s”)
Figure 9: Cross-section of an aqueduct tunnel
Materials
[LEFT]: Figure 10: View of the inside of the Aqua Marcia
[RIGHT]: Figure 11: Tool marks can still be seen today were laborers and slaves chipped away at the stone
Figure 10 above is a tunnel portion of the Aqua Claudia as it runs along a mountain side towards Rome. The material here is a soft sedimentary material made over thousands of years under water. It is soft and porous creating many problems along this section. The waterproof mortar can be seen below as the darker material below the separation line of the upper portion of the tunnel. Waterproof mortar was a common waterproofing method and was used in all of the aqueducts. Towards the bottom of the tunnel a brown calcium build up can be seen. This is the sinter that continually built up in the aqueducts because of the water requiring routine removal.
[LEFT]: Figure 12: Fellow UW colleagues exploring the tufa mines showing the shear size of the underground mines
[RIGHT]: Figure 13: Column support in a tufa mine
Since tunneling was the preferred method of aqueduct construction, mines, quarries, and brick manufacturers were necessary to supply stone, aggregate, and bricks. Tufa and travertine were rocks typically used in construction and found throughout Rome and its surrounding areas. Figure 11 shows the tool marks that can still be seen today in a tufa mine in Rome. Pick axes were used to chip away rock for stone blocks and smaller aggregate pieces. The mines were quite large and the ceilings could reach heights of over 5 meters as seen in figure 12. Romans were engineers and understood the danger of hollowing through the ground. As they mined materials, they would place strategic columns for support to avoid cave-ins and collapsed ceilings. Figure 13 shows a support column in a tufa mine.
Water Quality
Water quality was a problem in some of the aqueducts. Depending on the source of the water, debris and other finer materials would make the water unsuitable for drinking. Lakes and rivers that fed aqueducts were typically the sources of poor water quality, but rain could cause quality issues as well. Roman ingenuity came up with brilliant solution, settling tanks. Throughout the aqueducts systems, Castellums were placed as needed to allow the water to become still and settlement to take place. Typically at least one of these was placed at the intake and terminus of the aqueduct. The flow out of these tanks was clearer water containing less debris but the tanks required regular maintenance for debris removal.
Covering the aqueducts helped maintain water quality as the water slowly made its way downhill to Rome. Preventing animals, dirt, and other debris and substances from entering the water system was important. Contaminated drinking water could spell trouble for Roman citizens who relied on the aqueducts for survival.
Maintenance and Repair
Figure 14: Diversion well from the Aqua Claudia to the Aqua Marcia
Maintenance was full time job in ancient Rome. A job requiring skill, aqueducts often failed due to soft building materials, erosion, and poor construction techniques. The Aqua Claudia was continually under repair due to breaches. Because of problems like this, access doors and diversion tunnels were used along with sluice gates and holding tanks to divert or store water while repairs could be made. Figure 14 above is of a diversion tunnel from the Aqua Claudia to the Aqua Marcia below so water could be temporarily diverted without interrupting flow and building up destructive pressure in the aqueduct system.
[LEFT]: Figure 15: An abutment added to the Aqua Claudia/Aqua Anio Novus
[RIGHT]: Figure 16: Reinforced arches adn columns with abutments added to the Aqua Claudia/Anio Novus
Abutments were added for lateral support and supporting arches for increased loads from additional aqueducts. Figure 15 above shows an abutment added to the Aqua Claudia and Anio Novio arches. It appears to have become spindly from settlement and the abutment supplies adequate lateral support to prevent sway and the inevitable topping over if unaltered. Figure 16 has abutments, but the columns themselves have been altered to carry additional loads and a reinforcing arch has been added too. This suggests that besides settling issues, the added load from the Anio Novus above the Claudia exceeded the structural capacity of the of the original arch and columns requiring added structural support. Repairs and renovations like this were common and can be seen in many of the remaining arches that can still be seen today.
A Tour Narrative
The information collected throughout this page was part of an exploration seminar hosted by the University of Washington, Engineering Rome. A group of 17 students from varying science and engineering disciplines came to Rome for three weeks to study Roman engineering. I gathered information regarding the ancient aqueducts throughout the trip and have compiled my finding on this page. What you have not yet read is what you cannot find in a text book or journal article.
Figure 17: Aqueduct Park in Rome
Leaving the subway behind and walking through an urban neighborhood of cracked sidewalks, clothes flapping on clotheslines, and children playing ball in the streets, you come to a park. A vast open space of picnic benches, trails, olive trees, and abandoned animal corrals under a cloudy sky with broken up arches climbing the scenery in the back ground, see figure 17. As you approach the arches, there size becomes clear. Towering meters above your head, the complexity of their construction becomes clear. These structures are amazing. As you follow the path to the left, the arches become more connected and appear to gently slope downward. You can touch the stone, feel the different textures between hard travertine, soft tufa, and even see areas of replaced blocks, see figure 18. I noticed these red tufa blocks at the base of several columns in no particular order or section. They appear to be either a replacement using a convenient material at the time of repair or just another material that was thrown in the mix during the original construction. Manufactured bricks from the medieval period can be seen in the abutments and reinforced arches in various spots.
Figure 18: Red tufa base at the bottom of a column of the Aqua Claudia/Anio Novus at Aqueduct Park in Rome
These abutments have no pattern; some columns look like they originally had abutments or some sort of attachment to the side. Others have nothing, either because they are worn away or were never there. Walking through Aqueduct Park, you are allowed to interact and even climb on and into the aqueducts. You can feel the summer heat radiating through the stone. See the overgrown bushes trying to take over, and really get a feel for how much maintenance these structures required just from the elements, before the water is even considered.
Our group had a chance to explore the remains of the Aqua Claudia again in the cliffs beneath a monastery. This was a breath taking experience. Climbing down first through medieval cisterns, then exploring the bottom of wells still full of human remains disposed of during the plague, and finally down the cliffs overlooking an aqua green river passing rooms and chapels from the medieval times when monks lived in these carved spaces; graffiti can be seen carved into the soft walls dating back to at least the early 19th century from earlier explorers like ourselves. Down further, along steep stairs that are soft with moist debris and mud, we finally make our way to a tunnel, the Aqua Marcia is right there for us to smell, touch, and even taste.
It’s a small space, leaning over is required to clear the ceiling. The waterproofing cement on the walls are cool, despite the warm humid weather outside, and surprisingly smooth with a ceramic like feel when you touch them. The air is cool and moist. The ceiling meets this cement a quarter of the way down the walls, above is the soft sedimentary rock that has been chipped away exposes fossils from ancient times when the rock was a muddy floor to an ancient sea or lake. Towards the floor, the sinter can still be seen, a remnant of the abandoned water left behind when these ducts were abandoned. It adds texture and color to darkened cement, with its rounded grooves and ridges leaving a yellowish green color along the floor.
The floor is covered in fine sediment and rocks that have been knocked down from the surrounding walls and blown in with the weather. In places it is thick with dust, so thick you can taste it as you walk through it and it clings to the humid air. The smell of moisture and animals linger as you pass through the winding tunnels into the dark. Light breaks through here and there, reminding you of the access tunnels required for maintenance and repairs and allowing the breath taking sights of the cliff side to become visible. Through one tunnel opening rewe came across two mountain goats, which we were made even more aware of when we passed further down the tunnel. The powdery sediment along the floor was replaced with thick layers goat excrement and the tunnel smelled strongly of goat urine and was getting stronger with each step.
Turning back to explore the remaining direction, we were surprised by a toad, hiding among the rocks deep within the tunnel. We came across a gap were the aqueduct had washed away and guided each other across the small ravine with a rope and some strong roots. We saw crosses painted along the walls in white paint and came across a diversion well, figure 14. Bats flew through the tunnel brushing against us as they flew. They darted down the well making a spectacle of the hollow pit leading down into the mountain towards the Aqua Marcia below. Grooves from the sluice gates could be seen were they slid large plate to prevent or allow the water to use the well. Further down the tunnel, debris made it impossible to pass without shovels so we turned back.
Our group explored underground mines as well, showing us the deep caverns under the hills of Rome. These mines are inconspicuously dug throughout the city and have served the citizens throughout the ages, even as bomb shelters. The pools in these mines are beautiful and the water is pure enough to drink because it is filtered by the porous volcanic rock. The walls are scared with tool marks from excavation and nooks can be seen cut into the wall for ancient lanterns to light the workers way. It is an amazing place to contemplate the labor required to remove stone for construction projects such as the aqueducts.
We toured Roman houses uncovered near the Trevi Fountain, were castellums had been uncovered and how they distributed water out to surrounding rooms and buildings. To see the same concrete mortar bulging along the seams of the floor in these tanks to waterproof the edges as was used in the aqueducts themselves was fascinating. The castellums used a much thicker caulking like technique, figure 3, than the thin shells in the aqueducts but for the same purpose.
References
Aicher, P. J. (1995). Guide to the aqueducts of ancient rome. Wauconda, Illinois: Bolchazy-Carducci Publishers, Inc.
Anderson, M. A. (2006). Roman baths. Retrieved from hurri.kean.edu/~anderson/ppt/ahed/Roman Baths.ppt
Dictionary. (n.d.). Retrieved from dictionary.com
Hodge, A. T. (2005). Roman aqueducts & water supply. (2nd ed.). London: Gerald Duckworth & Co. Ltd.
McNoldy, B. (n.d.). Flow properties of horizontal rectangular channel hydraulic jumps . Retrieved fromhttp://einstein.atmos.colostate.edu/~mcnoldy/HydraulicJump.html
Muench, S. (n.d.). Water. Retrieved from http://engineeringrome.wikispaces.com/
Rectors and Visitors of the University of Virginia. (2008).Rome reborn. Retrieved from archive1.village.virginia.edu/spw4s/RomanForum/GoogleEarth/AK_GE/AK_HTML/AQ-002.html
Republican rome and the republican forum. (n.d.). Retrieved from http://www.mmdtkw.org/ALRIAncRomUnit3Slides.html
Roberson, J.A.; Cassidy, J.J. and Chaudhry, M.H.(1988). Hydraulic Engineering. Houghton Mifflin
Company, Boston, MA.
Roman aqueducts. (April, 2013). Retrieved from www.romanaqueducts.info
Roman emperor hadrian’s aqueduct. (n.d.). Retrieved from http://athens123.com/Main_HTML/Hadrians-Aqueduct/hadrians-aqueduct_main-page.html
Scaruffi, P. (1999). A time-line of the roman empire. Retrieved from http://www.scaruffi.com/politics/romans.html
Thayer, B. (September, 2013 11). lacuscurtius. Retrieved from http://penelope.uchicago.edu/Thayer/E/home.html
Originally published by ‘Engineering Rome‘ under a Creative Commons Attribution Share-Alike 3.0 license.
























